image banner
Chào mừng bạn đến với công thông tin điện tử của nhà trường
Thư viện ảnh
Đăng nhập
Thống kê truy cập
  • Đang online: 1
  • Hôm nay: 1
  • Trong tuần: 1
  • Tất cả: 1
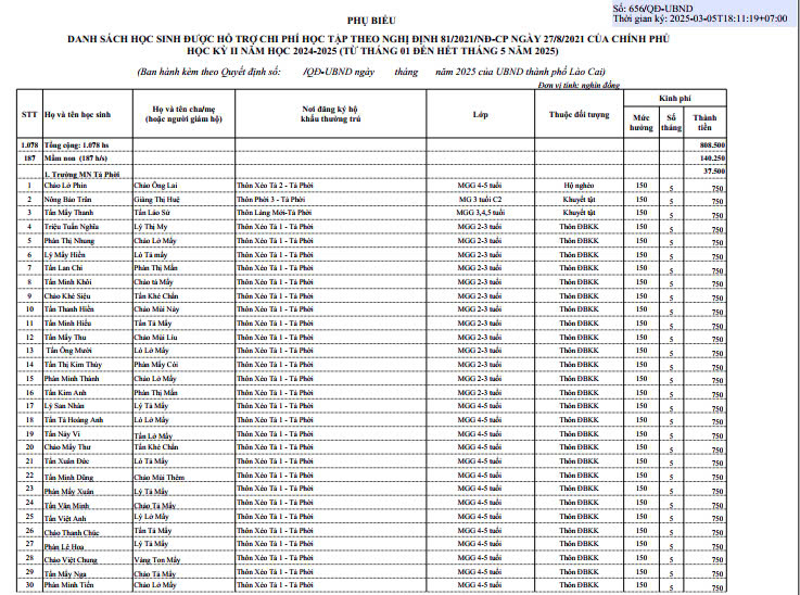
QUYẾT ĐỊNH V/v Phê duyệt bổ sung danh sách học sinh được hỗ trợ chi phí học tập theo Nghị định 81/2021/NĐ-CP ngày 27/8/2021 Học kỳ I năm học 2024-2025 (từ tháng 9 đến tháng 12/2024)
anh tin bai
anh tin bai
anh tin bai

TRƯỜNG MẦM NON BÌNH MINH

Địa chỉ: Tổ 10, phường Xuân Tăng, TP Lào Cai, tỉnh Lào Cai
Điện thoại0963798090
Email: mnbinhminh@elc.vn